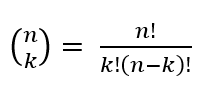
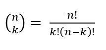
A combinação de n elemento em k pode ser descrita pela fórmula abaixo:

Um jeito de visualizar é pensar em n elementos, que devem entrar em k casas. Há quantas formas diferentes possíveis?

Pela fórmula, chegamos ao mesmo número do exemplo:

Esse mesmo raciocínio pode ajudar em desenvolvimentos mais complexos.
Existe uma fórmula em teoria combinatória que é assim:

Sempre achei a mesma muito abstrata. Combinação de n+1 elementos em k formas = Combinação de n elementos em k formas + Combinação de n elementos em k-1 formas.
Exemplo numérico:

Numericamente, é só fazer a conta:

Há uma forma simples de visualizar. Imagine que n+1 elementos devem caber em k espaços. O de vermelho é o elemento número n+1.
Deixei visualmente 6 elementos e 3 casas para ficar igual ao exemplo numérico.

Se eu desconsiderar momentaneamente o elemento n+1, terei a combinação de n elementos em k espaços.
Com o elemento n+1, imagine este preenchendo uma das casas. Sobrará a combinação dos n elementos restantes nas k-1 casas restantes.
Somando ambos, terei exatamente a combinação de n+1 elementos em k espaços.

Sumário em um slide:

Veja também:
