Hipaso foi um matemático grego do século V a.C., frequentemente creditado com a descoberta de que a raiz quadrada de 2 é irracional.
A raiz de 2 é a “desgraça de Pitágoras”, pelos matemáticos da época não terem conseguido encontrar um número fracionário que representasse a hipotenusa de um triângulo retângulo com catetos de medida 1.

Eu sempre gosto de representações visuais dos conceitos, então seguem alguns. O quadrado de um número é como a área de um retângulo.
1^2 = 1
2^2 = 4

Então, a raiz de 2 deveria estar entre 1 e 2.
Outro conceito básico:
– O quadrado de um número ímpar é ímpar
– O quadrado de um número par é par

O raiz(2) é a hipotenusa de um triângulo retângulo de catetos iguais a 1, daí a relação entre raiz(2) e o teorema de Pitágora.

Hipaso não usou notação matemática, mas chegou num raciocínio como o seguinte.
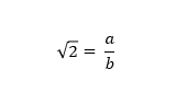
Suponha, por absurdo, que a raiz quadrada de 2 seja racional, ou seja, pode ser escrito como uma fração de dois inteiros positivos a e b, de forma que a/b é irredutível.

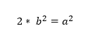
Podemos elevar ambos os lados da equação ao quadrado, obtendo:

Isso significa que a^2 é par, já que é igual a 2 vezes um número inteiro. Portanto, a é também par, já que o quadrado de qualquer número par é par, e o quadrado de qualquer ímpar é ímpar.
Ora, mas se a é par, a^2 é “duplamente par”, sendo múltiplo de 4.

Exemplo na figura acima. 4^2 = 16, que pode ser dividido em 4 partes, cada qual par também.
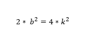
Uma prova mais formal: escrever “a” como “2k” para algum inteiro k.
Substituindo a = 2k na equação a^2 = 2b^2, obtemos:

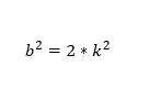
ou seja,

Mas isso significa que b^2 é par, já que é igual a 2 vezes um número inteiro k^2. Portanto, b é também par.
Mas isso contradiz nossa suposição inicial de que a e b não têm fatores em comum além de 1, já que ambos são divisíveis por 2.
Portanto, nossa suposição de que a raiz quadrada de 2 é racional é falsa, o que significa que ela é alguma coisa diferente – que hoje chamamos de “irracional”.
Diz a lenda que Hipaso, após ter feito a dedução, foi terminantemente proibido pelo pitagóricos de divulgar o resultado. Porém, ele não conseguiu segurar a língua e saiu a divulgar a descoberta.
Pelo ato acima, ele foi condenado pelos pitagóricos, tendo sido abandonado no meio do Mediterrâneo para morrer afogado!
Hoje sabemos que raiz(2) é irracional. É bem fácil usar o Wolfram Alpha para gerar 1000 dígitos de raiz(2). Vide:
https://www.wolframalpha.com/input?i=sqrt%282%29+with+1000+digits

Veja também:

Republicou isso em Ferramentas em Excel-Vba.
CurtirCurtir