Funções de números aleatórios no Excel
Números aleatórios podem ser úteis para Análises estatísticas como Monte Carlo, e também é possível fazer algumas brincadeiras.
A fórmula “Aleatório()” do Excel fornece um número real aleatório entre 0 e 1:

Clicando F9 ou a qualquer mudança na planilha, este valor é recalculado.
Outra função útil é “=ALEATÓRIOENTRE(min;max)”: vai gerar um número aleatório inteiro entre o valor mínimo e o máximo.

Gerador de cartelas de Bingo
Vamos criar um gerador de cartelas de Bingo com números aleatórios.

Não podemos simplesmente jogar “=aleatórioentre(1, 15)”, porque provavelmente vai dar algum número repetido.
Então, temos que ser um pouquinho mais sofisticados.
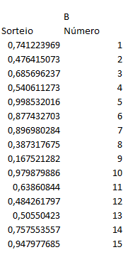
Imagine que tenho que escolher 5 números entre 1 e 15, para a coluna “B” do Bingo.
Na célula imediatamente à esquerda, sorteio um número aleatório qualquer.

Uma forma de sortear 5 números da lista seria ordenar a coluna aleatória em ordem decrescente e pegar os 5 primeiros.
Existe uma forma fácil de fazer isso no Excel.
A função “Ordem.eq(núm, ref)” diz qual a ordem de um número numa sequência.
Por exemplo, o número 0,7412 é o sétimo na ordem decrescente, da lista de 15 números.
O 0,9985 é o maior da lista, e o 0,1675 é o menor.

Depois, é só fazer um procv para pegar os 5 primeiros.

Clicando em F9, o Excel vai sortear outra cartela.
Bônus: “Bingo corporativo”, para usar em reuniões entediantes.

Download da planilha no Google Drive.
Veja também:

Republicou isso em Ferramentas em Excel-Vbae comentado:
Post do blog Ideias Esquecidas.
CurtirCurtir